i地図通信699号 作業規程の準則における航空写真の撮影基準
令和5年版 公共測量作業規程の準則によると、航空写真の撮影基準は二つあります。ひとつは、フィルム航空カメラを使用した場合の第199条(空中写真の撮影縮尺)、もうひとつは、デジタル航空カメラを使用した場合の第185条(数値写真の地上画素寸法)です。なお、第199条では空中写真、第185条では数値写真という表現をしていますが、航空写真と同じ意味で、使用している写像の記録媒体がアナログ(フィルム)かデジタル(固体撮像素子)かの違いです。
本稿では、数値写真の地上画素寸法が、どのような意味を持っているのかと対話します。空中写真の撮影縮尺については、既知として扱います。
第199条(空中写真の撮影縮尺)は、次のように規定されています。

第185条(数値写真の地上画素寸法)は、次のように規定されています。
フィルム航空カメラでは、地図情報レベル毎に一意に撮影縮尺が決められるのに対し、デジタル航空カメラでは数式で決めなければなりません。
フィルム航空カメラは、作業規程の準則が制定された時代には、標準化が進み、写真測量の精度の基準となる焦点距離、フィルムサイズ、フィルム解像度が、どのメーカのどの機種も同じになっていたためです。
一方、デジタル航空カメラは、フィルム航空カメラのように標準化する必要がないため、同じメーカでも機種ごとに仕様が異なっています。したがって、地形図作成の精度を満たすためには、カメラの仕様毎に撮影基準を決定する必要があります。
デジタル航空カメラによる航空写真の撮影基準(数値写真の地上画素寸法)は、平成18年(2006年)度に実施された国土地理院の委託研究「ディジタル写真測量の標準化に関する調査研究作業」で決定されています(津留、2007)。
この委託研究では、Intergrah(現Leica Geosystems)社のDMCとVexcel社のUCDの2つの航空カメラを対象に、8つの検証が行われ、地上画素寸法別の精度と数値写真の測定精度(地上画素寸法の1/2)が導かれました。
これを基に第216条(調整計算)第8項に規定するフィルム航空カメラで撮影した航空写真を用いた調整計算における標高点の残差(対地高度の0.02%以内)を、どのデジタル航空カメラでも満たせる基準が第185条初項のとおり導かれました。つまり、フィルム航空カメラで撮影した場合と同じようになる撮影基準が決められました。
この撮影基準は、次の写真測量の精度が基になっています。
ここで、Hは対地高度、fは焦点距離、Bは基線長、σpは測定精度(フィルム上)をいう。
ここで高さの精度(σz)は、平面位置の精度(σx及びσy)に“H/B”(基線高度比の逆数)を掛けた式となっていて、平面位置の精度より悪い値をとります。”H/B”が、フィルム航空カメラでは1/0.6、デジタル航空カメラでは1/0.3付近となるためです
したがって、高さの精度が満たされれば、平面位置の精度は自ずと満たされます。そこで、数値写真の地上画素寸法の基準設定には、高さの精度が採用されました。
高さの精度を求める式の“(H/f)×σp”は、(H/f)が対地高度と焦点距離の比であることから、フィルム上の測定精度(σp)を地上での大きさに変換していることになります。
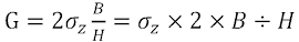
また、地上での測定精度は、検証によって地上画素寸法の1/2であることが確認されていますので、高さの精度(σz)は次のように表せます。
ここで、Gは地上画素寸法をいう。
この式から地上画素寸法は、次のように導けます。
このときσzは、フィルム航空カメラでは対地高度の0.02%(第216条(調整計算)第8項)と規定されているため、この値は次表のようになります。
この表の「対地高度の0.02%[mm]」の上限と下限を、地上画素寸法の式に入れて、地図情報レベル毎に整理したのが第185条の表となります。
<参考文献>
津留宏介、下田礼三、池田良生、内田修、小田明義、小田三千夫、小出和政、大内山弘美、成瀬弘晃、宮作尚宏、2007、ディジタル写真測量の標準化に関する調査研究作業、先端測量技術95号、pp.6-15


コメント
コメントを投稿